Papers

(continued)

Selected Refereed Papers More Than Three Years Old


"Chandra spectral measurements of the O supergiant zeta Puppis indicate a surprising increase in the wind mass-loss rate over 18 years," Cohen, Wang, Petit, Leutenegger, Dakir, Mayhue, & David-Uraz, MNRAS, 499, 6044 (Dec. 2020).

A new (2018-19) long Chandra data set shows a surprising change in the X-ray emission line profile shapes, consistent with an increase in the wind mass-loss rate, since the previous observation, taken 18 years earlier. We show the profile shape changes via both a moment analysis and fitting of Gaussians to each individual, relatively unblended line seen in both the new and the old datasets. To interpret these changes, we fit line profile models that include Doppler broadening and wind absorption and find a mass loss rate of 2.47 X 10-6 Msun/yr. That is 40 percent higher than the value derived from the profile fitting of the older data. The X-ray line fluxes have also increased, though by less than 40 percent. The shorter wavelength lines, which are less subject to absorption, show larger flux increases compared to the more absorbed, longer wavelength lines. These results are consistent with a mass-loss rate increase that causes an increase in both wind emission and wind absorption.
 
Cohen Fig 1 Cohen Fig 4 Cohen Fig 4 Cohen Fig B1

 

"KELT-25 b and KELT-26 b: A Hot Jupiter and a Substellar Companion Transiting Young A Stars Observed by TESS," Martínez, et al., AJ, 160, 111 (Sep. 2020).

These two KELT planets both orbit A stars and have short periods. KELT 25b may be as massive as 68 Jupiter masses, while KELT 26b is a very inflated hot Jupiter on a highly misaligned orbit.
 
Martinez Fig 6 Martinez Fig 7 Martinez Fig 13

 

"KELT-24b: A 5M_jup Planet on a 5.6 day Well-aligned Orbit around the Young V = 8.3 F-star HD 93148," Rodriguez, et al., AJ, 158, 197 (Nov. 2019).

This KELT discovery is of a rather massive hot Jupiter orbiting a quite bright star, making it an interesting target for future atmospheric studies. Doppler tomography shows that the planets orbit is aligned well with the rotation of the star. The host star is relatively young (less than a billion years old) and quite hot.
 
Rodriguez Fig 4 Rodriguez Fig 8

 

"KELT-23Ab: A Hot Jupiter Transiting a Near-solar Twin Close to the TESS and JWST Continuous Viewing Zones," Johns, et al., AJ, 158, 78 (Aug. 2019).

A significantly inflated hot Jupiter (with a density of about 0.5) this newly discovered exoplanet orbits a moderately bright host star. It has one of the highest ecliptic latitudes of any known transiting exoplanets, which places it near the TESS and JWST continuous viewing zones, making it an appealing target for follow-up studies. We contributed a full-transit light curve to the discovery and characterization of this exoplanet at the Peter van Kamp Observatory at Swarthmore.
 
Johns Fig 2 Johns Fig 3 Johns Fig 8

 

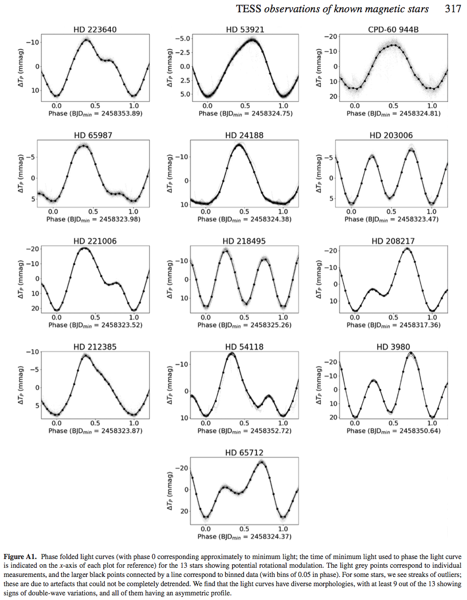
"Magnetic OB[A] Stars with TESS: probing their Evolutionary and Rotational properties (MOBSTER) - I. First-light observations of known magnetic B and A stars," David-Uraz, et al., MNRAS, 487, 304 (Jul. 2019).

Magnetic O, B, and A stars (about 10% of these spectral types have large-scale, often quite strong, magnetic fields that trap wind plasma, forming rotating magnetospheres) have numerous observational signatures that show rotational modulation. TESS which is monitoring the sky searching for exoplanets provides a rich photometric time-series dataset of rotationally modulated magnetic massive stars. The MOBSTER collaboration is systematically studying this category of stars using TESS data and associated modeling and supplemental diagnostics. In this first paper we present period measurements of 19 previously known magnetic massive stars observed in the first two TESS fields.
 
David-Uraz Fig 1 David-Uraz Fig 2 David-Uraz Fig A1

 

"Extreme resonance line profile variations in the ultraviolet spectra of NGC 1624-2: probing the giant magnetosphere of the most strongly magnetized known O-type star," David-Uraz, et al., MNRAS, 483, 2814 (Feb. 2019).

The star NGC 1624-2 has by far the strongest known magnetic field – and largest magnetosphere – of any O star. Here we present the first ultraviolet spectrscopy of this extreme magnetic O star, which show extreme variations in the C IV and Si IV doublet shapes and strengths between the high state and low state (representing different viewing angles through the magnetosphere and wind). Preliminary modeling (based on the Analytic Dynamic Magnetosphere model) shows that non-spherical wind models will be necessary to fully characterize the UV spectral properties of the star's magnetosphere and wind.
 
David-Uraz Fig 1 David-Uraz Fig 3

 

"KELT-22Ab: A Massive, Short-Period Hot Jupiter Transiting a Near-solar Twin," Labadie-Bartz, et al., ApJS, 240, 13 (Jan. 2019).

This KELT discovery is a quite massive (3.5 MJ) hot Jupiter orbiting a Sun-like star. The system my be a triple – we present an AO detection of a companion and the radial velocity curve shows a long-term trend, indicating a possible third star in the system. The system has some unusual kinematic properties in the Galaxy.
 
Labadie-Bartz Fig 9 Labadie-Bartz Fig 12 Labadie-Bartz Fig 13

 

"The KELT Follow-up Network and Transit False-positive Catalog: Pre-vetted False Positives for TESS," Collins, et al., AJ, 156, 234 (Nov. 2018).

This paper provides a comprehensive description of KELT and its Follow-Up Network (KFUN). The KELT discovery telescope has a functional resolution of several arc minutes and so follow-up with larger telescopes, having a smaller plate scale, is required and most candidates are false positives. After ten years of operation, with 20 validated exoplanet discoveries, KFUN has followed up on about 1600 candidates. This paper primarily describes the 1128 astrophysical false positives (mostly eclipsing binaries) among the bright (6 < V < 13) candidate stars.
 
Collins Fig 2 Collins Fig 3

 

"KELT-21b: A Hot Jupiter Transiting the Rapidly Rotating Metal-poor Late-A Primary of a Likely Hierarchical Triple System," Johnson, et al., AJ, 155, 100 (Feb. 2018).

This hot Jupiter is notable for its host star's unusual metal abundances and for its presence in a triple star system. Its orbital plane is well aligned with the host star's rotation.
 
Johnson Fig 8 Johnson Fig 11 Johnson Fig 14

 

"KELT-19Ab: A P ˜ 4.6-day Hot Jupiter Transiting a Likely Am Star with a Distant Stellar Companion," Siverd, et al., AJ, 155, 35 (Jan. 2018).

Doppler tomography shows a nearly complete misalignment of this planet's orbit with its host star's rotation. The host star is probably a chemically peculiar Am star, while the planet has a radius nearly twice that of Jupiter's and a computed equilibrium temperature of about 2000 K.
 
Siverd Fig 7 Siverd Fig 8 Siverd Fig 13

 

"KELT-20b: A Giant Planet with a Period of P ~ 3.5 days Transiting the V ~ 7.6 Early A Star HD 185603," Lund, et al., AJ, 154, 194 (Nov. 2017).

This KELT discovery of a hot Jupiter – supported by two transit observations from Swarthmore's Peter van de Kamp Observatory – features one of the hottest and brightest host stars known. We present Doppler tomography to confirm the planetary status of the companion, though due to the host's rapid rotation, we can't measure the planet's mass.
 
Lund Fig 8 Lund Fig 9 Lund Fig 11

 

"KELT-18b: Puffy Planet, Hot Host, Probably Perturbed," McLeod, et al., AJ, 153, 263 (Jun. 2017).

The KELT collaboration has discovered another hot Jupiter orbiting a bright, relatively hot star. In this instance, the host is a V=10, F4V star. The orbital period is 2.87 days and the density of KELT 18b is a remarkably low 0.38 g cm-3. Swarthmore's Peter van de Kamp Observatory contributed a partial transit to this paper.
 
McLeod Fig 3 McLeod Fig 10

 

"Magnetic Massive Stars as Progenitors of 'Heavy' Stellar-Mass Black Holes," Petit, Keshthelyi, MacInnis, Cohen, Townsend, Wade, Thomas, Owocki, Puls, & ud-Doula, MNRAS, 466, 1052 (Apr. 2017).

The first LIGO discovery was a merging pair of black holes. These black holes were notably for being heavy by the standards collapsed massive stars (> 30 Msun). It was immediately assumed that the progenitors of these black holes were massive stars with significantly sub-solar metallicity – since line-driven stellar winds deplete high-mass stars of much of their original mass. And these winds are driven by metal lines and so in a low-metallicity environment, winds are weaker. However, in this paper we show that there is a channel for massive black hole formation that does not require a low metallicity environment. This involves large scale magnetic fields, which are found in roughly ten percent of massive stars. A strong, dipole field reduces the mass-loss rate by trapping the wind in a magnetosphere, from where it falls back onto the star. We present a suite of models, including one that shows a magnetized, solar metallicity 80 Msun star that retains fully 20 Msun of additional mass compared to an unmagnetized star with the same properties.
 
Petit Fig 1 Petit Fig 4 Petit Fig 7

 

"KELT-16b: A Highly Irradiated, Ultra-Short Period Hot Jupiter Nearing Tidal Disruption," Oberst, et al., AJ, 153, 97 (Mar. 2017).

This hot Jupiter (2.8 MJ, 1.4 RJ), discovered by the KELT collaboration, of which Swarthmore's Peter van de Kamp Observatory is a member of the Follow-Up Network, has an orbital period of less than one day. It orbits an F star and so is very highly irradiated and also quite possibly is soon to be tidally disrupted by its host star. We present transit photometry, radial velocity measurements, and AO imaging that identifies a companion, which may be responsible for Kozai-Lidov mediated migration of KELT 16b to its current very close proximity to its host star.
 
Oberst Fig 15 Oberst Fig 17 Oberst Fig 18

 

"An 'Analytic Dynamical Magnetosphere' Formalism for X-ray and Optical Emission from Slowly Rotating Magnetic Massive Stars," Owocki, ud-Doula, Sundqvist, Petit, Cohen, & Townsend, MNRAS, 462, 3830 (Nov. 2016).

We present an analytic model for the magnetospheres of slowly rotating magnetic massive stars. Without centrifugal support, magnetospheric plasma falls back onto the star periodically. Our analytic model has three plasma components along each field line: cold pre-shock wind, hot post-shock plasma, and cooled infalling plasma. The model computes the physical variables along each field line, which enables the calculation of diagnostics, like Halpha and X-ray emission. We benchmark the ADM properties against time-averaged MHD simulations.
 
Owocki Fig 1 Owocki Fig 6 Owocki Fig 8

 

"KELT-17b: A Hot-Jupiter Transiting an A-star in a Misaligned Orbit Detected with Doppler Tomography," Zhou, et al., AJ, 152, 136 (Nov. 2016).

The Peter van de Kamp Observatory at Swarthmore contributed to the discovery of this exoplanet (via the transit method). The host star is both bright (V = 9.2) and hot (7450 K). It is only the fourth A star known to be an exoplanet host, and one of the most rapid rotators among exoplanet host stars (44 km/s). The planet is a hot Jupiter in a 3 day orbit. The orbit is misaligned with the star's rotation – we present Doppler tomography showing this.
 
Zhou Fig 5 Zhou Fig 2 Zhou Fig 8

 

"X-ray, UV and optical analysis of supergiants: epsilon Ori," Puebla, Hillier, Zsargó, Cohen, & Leutenegger, MNRAS, 456, 2907 (Mar. 2016).

We use the XCMFGEN code to perform multi-wavelength modeling of the early B supergiant, epsilon Ori (middle star in Orion's belt). XCMFGEN computes statistical equilibrium (NLTE level populations) in a massive star wind, including the effects of X-ray photoionization. The goals are two-fold – to characterize the wind properties and to test the consistency of the derived parameters in different wavelength bands. In general, we do achieve good consistency for a model that has a clumping-corrected mass-loss rate of Mdot/sqrt(f_cl) = 1.6 X 10-6 Msun/yr, which is consistent with my earlier determination from modeling the X-ray profile shapes (Cohen et al. 2014). Other notable results include a spatially stratified X-ray temperature distribution, slight CNO processing in the surface/wind abundances, and a high value of the wind velocity parameter, beta ~ 2.
 
Puebla 2016 Fig 4 Puebla 2016 Fig 8 Puebla 2016 Fig 20

 

"The MiMeS Survey of Magnetism in Massive Stars: Introduction and Overview," Wade et al., MNRAS, 456, 2 (Feb. 2016).

This paper provides context, background information, and observational data and statistics for the Magnetism in Massive Stars (MiMeS) project. This was a large project carried out between 2008 and 2013 using spectropolarimetric measurements made at several large observatories to study the incidence and characteristics of surface magnetic fields in sample of hundreds of OB stars. The sensitivity was typically 100 G for surface dipole fields. Stable fields, consistent with a fossil origin, were detected in 5 to 10 percent of OB stars across most categories (notably, though, not Be stars, for which the incidence is zero).
 
Wade 2016 Fig 1 Wade 2016 Fig 4

 

"X-ray emission from the giant magnetosphere of the magnetic O-type star NGC 1624-2," Petit, Cohen, Wade, Nazé, Owocki, Sundqvist, ud-Doula, Fullerton, Leutenegger, & Gagné, MNRAS, 453, 3288 (Nov. 2015).

NGC 1624-2 is the O star with the largest magnetosphere (in excess of 10 stellar radii). New Chandra ACIS observations made at two extreme rotational phases show variability consistent with increased soft-X-ray absorption within the magnetosphere at the phase corresponding to a more edge-on view. This is consistent with the expectations of models that show a primary X-ray source location roughly one stellar radius above the surface and larger column densities through the equatorial portion of the magnetosphere.
 
Petit 2015 Fig 1 Petit 2015 Fig 5 Petit 2015 Fig 6

 

"Detection of 610-MHz Radio Emission from Hot Magnetic Stars," Chandra, et al., MNRAS, 452, 1245 (Sep. 2015).

We report on a small survey of magnetic O and B stars using low-frequency radio observations. Radio emission is expected from the magnetospheres of these stars, and it is expected to be rotationally modulated. We do detect rotationally modulated radio emission, although at the lowest frequency band – 610 MHz – the O stars are not detected while the B stars are. This is consistent with free-free wind absorption in the O stars, which have denser winds, extending beyond their magnetospheres. We detect strong and rapid variability in one star: HD 133880, which is a very rapidly rotating late B star.
 
Chandra 2015 Fig 1 Chandra 2015 Fig 3

 

"Ground-Based Transit Observations of the HAT-P-18, HAT-P-19, HAT-P-27/WASP40 and WASP-21 Systems," Seeliger et al., MNRAS, 451, 4060 (Aug. 2015).

Transit timing variations (TTVs) in known transiting exoplanets may be expected in the presence of otherwise unseen planetary companions. In this study, carried out by the YETI collaboration, we use data from multiple observatories to search for TTVs in four systems where they are expected to be relatively large, and possibly within the reach of ground-based observatories. While we were not able to detect TTVs in any of these systems, we place upper limits on any that might be present, and also refine the determinations of the stellar, orbital, and exoplanet properties.
 
Seeliger 2015 Fig 5

 

"Confirming HD 23478 as a New Magnetic B Star Hosting an H-alpha-Bright Centrifugal Magnetosphere," Sikora et al., MNRAS, 451, 1928 (Aug. 2015).

A B3 V star, HD 23478 had been identified, based on its IR properties, as possibly hosting a centrifugal magnetosphere. Here we report measurements of a strong magnetic field and associated H-alpha emission, consistent with the expectations for a centrifugally supported magnetosphere. We use high-quality ESPaDOnS spectra to determine the stellar properties and measure the H-alpha variability as well as to constrain the magnetic field properties. Our 23 spectropolarimetric observations are consistent with a dipole field with a polar strength of at least 9.5 kG and a field that is closely aligned with the rotation axis.
 
Sikora 2015 Fig 6 Sikora 2015 Fig 8 Sikora 2015 Fig 10

 

"Measuring the Shock Heating Rate in the Winds of O Stars Using X-ray Line Spectra," Cohen, Li ('16), Gayley, Owocki, Sundqvist, Petit, & Leutenegger, MNRAS, 444, 3729 (Nov. 2014).

We present a new way to extract information about plasma heating directly from X-ray spectra and apply it to Chandra grating spectra of five O stars. The method is based on Ken Gayley's 2014 paper on Impulsive Heating with a Cumulative Initial Temperature Distribution, here applied to the radiatively cooled shocks embedded in the dense winds of O stars. We use this technique, which exploits the fact that the line luminosity (corrected for wind absorption) is proportional to two key quantities, (1) the cumulative shock heating rate - the probability that a parcel of wind plasma is shock-heated to a given temperature or higher as it traverses the wind - and (2) the temperature-integrated fraction of the radiative cooling that is emitted in a given line. We find relatively uniform results for our five program stars: roughly 0.1 of the wind mass is heated to at least 2 million K as it advects through the wind and the temperature spectrum of the heating is steep, roughly consistent with a power law of index n = -3. We see indications of a cutoff or at least a steepening in the shock heating rate at about 20 million K.
 
emissivities gray box zeta Pup all NpT

 

"X-Ray Emission from Magnetic Massive Stars," Nazé, Petit, Rinbrand, Cohen, Owocki, ud-Doula, & Wade, ApJS, 215, 10 (Nov. 2014).

We reanalyze X-ray observations of most known magnetic massive stars in a uniform way in order to establish trends between X-ray emission properties and stellar and wind properties of this important class of stars, which are known to be strong X-ray sources by virtue of their shock-heated magnetospheres. Most of the stars have X-ray luminosities that scale with their wind mass-loss rates. In the context of the XADM model (ud-Doula et al. 2014), the measured X-ray luminosities imply a roughly 10 percent heating efficiency. Several B stars in the sample have elevated X-rays luminosities and many of them are very rapid rotators. The later-type stars in the sample, with the lowest density winds, show lower X-ray luminosities than the Mdot scaling, which is consistent with shock retreat, also discussed in ud-Doula et al. (2014).
 
xpod sample model Lx

 

"X-rays from Magnetically Confined Wind Shocks: Effect of Cooling-Regulated Shock Retreat," ud-Doula, Owocki, Townsend, Petit, & Cohen, MNRAS, 441, 3600 (Jul. 2014).

X-ray emission properties from magnetically confined winds are modeled via a parameter study of 2-D MHD simulations that include both radiative and inverse Compton cooling. A primary result is that less efficient cooling in lower-density winds leads to a "shock retreat" effect that causes the shock front to move closer to the photosphere, leading to a lower pre-shock wind speed and thus less X-ray emission than would otherwise be expected. Thus while higher-density winds are found to have X-ray emission that scales linearly with the mass-loss rate, as expected from the basic physics of radiatively cooled wind shocks and also in agreement with the predictions of Babel & Montmerle (1997), lower density winds have X-ray luminosities that scale more steeply with the mass-loss rate.
 
ud-Doula Fig. 4

 

"Transit Timing Analysis in the HAT-P-32 System," Seeliger et al., MNRAS, 441, 304 (Jun. 2014).

Using a ground-based network of medium-sized telescopes (YETI) – including the Peter van de Kamp Observatory at Swarthmore College – we obtained 25 transit light curves to search for transit timing variations (TTVs) in the exoplanet host star HAT-P-32. Although none were detected, we are able to place an upper limit of 1.5 min on any TTVs in the orbit of HAT-P-32b, and place limits on the properties of other planets that may be present in the system. We also present refined values for some of the key system properties.
 
light curves O-C diagram mass constraints from TTVs

 

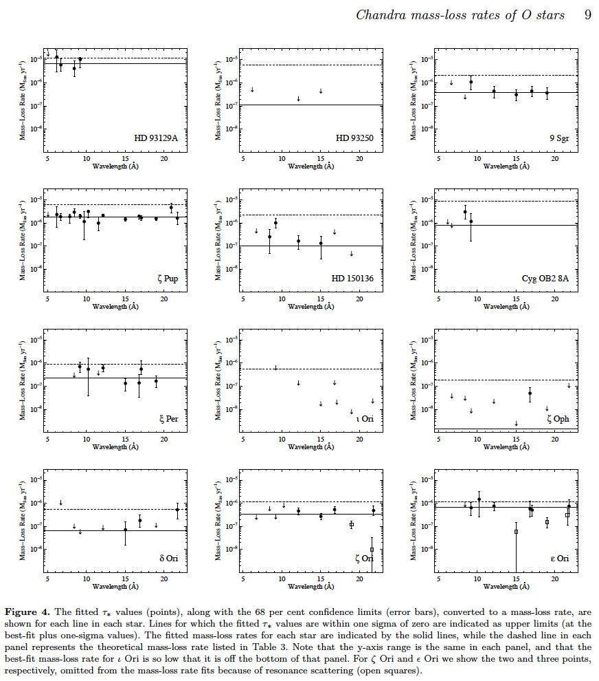
"Measuring Mass-Loss Rates and Constraining Shock Physics Using X-ray Line Profiles of O Stars from the Chandra Archive," Cohen, Wollman ('09), Leutenegger, Sundqvist, Fullerton, Zsargó, & Owocki, MNRAS, 439, 908 (Mar. 2014).

The X-ray line profile model we have used to analyze the high-quality Chandra grating spectrum of ζ Pup is, in this paper, fit to all the stars with grating spectra in the Chandra archives. After throwing out several stars with spectra too weak to analyze, we were left with a dozen stars, five of which appear to be contaminated by emission from colliding wind shocks: HD 93250, Cyg OB2 8A, HD 150136, ι Ori, and to some extent δ Ori. For the remaining seven: ζ Pup, HD 93129A, 9 Sgr, ξ Per, ζ Oph, ζ Ori, and ε Ori, we find that the X-ray onset radius is typically around 1.5 Rstar, that the X-ray derived terminal wind velocity is consistent with the UV terminal wind velocity, and that the mass-loss rates are generally a factor of two to six below the theoretical expectations. And for ζ Oph, nearly two orders of magnitude below. We also present a re-evaluation of ζ Pup's mass-loss rate, using a solar-metallicity wind opacity model, and find a mass-loss rate of 1.8 X 10-6 Msun/yr. These mass-loss rate determinations are not subject to density-squared clumping effects and associated systematic uncertainties.
 
wind opacity fit results Mdot reduction

 

"Constraints on Porosity and Mass Loss in O-star Winds from the Modeling of X-Ray Emission Line Profile Shapes," Leutenegger, Cohen, Sundqvist, & Owocki, Ap.J., 770, 80 (Jun. 2013).

Following up on our earlier paper on the effect of wind porosity on X-ray emission line profiles, including a unified formalism for isotropic (e.g. spherical clumps) and anisotropic (e.g. flattened, radially oriented clumps) porosity, we constrain the levels of porosity in the wind of the O supergiant zeta Pup using a combination of Chandra and XMM grating spectra. We find that anisotropic porosity provides poor fits to the observed line profiles. For isotropic porosity, we find that large porosity lengths are also ruled out, but modest porosity (terminal porosity lengths less than a stellar radius) is consistent with the data, though they generally provide worse fits than models with no porosity. We show, however, that these modest levels of porosity lead to increases in the wind optical depth parameter and thus the mass-loss rate of only a few tens of percent. We can conclude that porosity - optically thick clumping - is not important for X-ray radiation transport in O star winds.
 
profiles clump visualizations

 

"Thin Shell Mixing in Radiative Wind-Shocks and the Lx ~ Lbol Scaling of O-Star X-rays," Owocki, Sundqvist, Cohen, & Gayley, MNRAS, 429, 3379 (Mar. 2013).

Once again addressing the observed Lx vs. Lbol scaling in O stars, we investigate the role of adiabatic vs. radiative cooling in setting the radial dependence of the X-ray filling factor. Nearly all O star winds are expected to have shocks that cool radiatively, which leads to a weaker - but still super-linear - relationship between X-ray and bolometric luminosity (via the mass-loss rate), as compared to the density-squared (and thus mass-loss rate squared) scaling expected from adiabatic shocks. We suggest in this paper that when wind shocks are radiative, they are also subject to thin-shell instabilities. The associated mixing represents a non-radiative cooling channel that can further suppress the X-ray emission scaling with mass-loss rate. If we assume a weak dependence of the associated mixing and non-radiative cooling upon the shock cooling length, we are able to reproduce the linear Lx ~ Lbol relationship. Further, we find that the constraints implied by the observed spectral line profile shapes suggest that the shock heating rate must decrease with radius in O star winds. Finally, we suggest that very optically thick winds from the most massive O stars should show a sub-linear Lx vs. Lbol scaling.
 
ipad sketch Lx vs. Ra

 

"A Magnetic Confinement vs. Rotation Classification of Massive-Star Magnetospheres," Petit, et al., MNRAS, 429, 398 (Feb. 2013).

Using multiwavelength data from 64 confirmed magnetic massive stars having temperatures greater than about 16,000 K, we show how many of the trends in the properties of these stars can be understood within the context of a classification scheme based on magnetic confinement and rotation. Rapidly rotating stars with large confinement have large magnetospheres filled with centrifugally supported plasma (centrifugal magnetospheres, CM), while slower rotators have transiently filled magnetospheres (dynamical magnetospheres, DM). Among our observational results, it is particularly notable that H-alpha magnetospheric emission is seen in two categories of objects: (1) B stars with rapid rotation and strong confinement and (2) O stars, which tend to have DMs due to their low rotational velocities, but have significant magnetospheric plasma due to their strong winds.
 
ipod HRD CM DM schematic Ha profiles ipod Ha

 

"Discovery of a Magnetic Field in the Rapidly-Rotating O-Type Secondary of the Colliding-Wind Binary HD 47129 (Plaskett's Star)," Grunhut, et al., MNRAS, 428, 1686 (Jan. 2013).

Plaskett's star is a close massive binary that exhibits colliding wind behavior. In this paper we announce the detection and characterization of a field consistent with a 3 kG dipole on the rapidly rotating secondary in the system. The slower rotating primary shows no sign of a field (three sigma upper limit of 230 G). The existing X-ray data are not good enough quality to differentiate colliding wind X-ray emission from magnetically channeled wind shock X-ray emission. It seems likely that both effects are present in this interesting binary system.
 
V profiles

 

"A Generalized Porosity Formalism for Isotropic and Anisotropic Effective Opacity and its Effects on X-ray Line Attenuation in Clumped O Star Winds," Sundqvist, Owocki, Cohen, Leutenegger, & Townsend, MNRAS, 420, 1553 (Feb. 2012).

Wind clumping will always affect density-squared diagnostics, but only optically thick clumps - and their associated porosity - affect diagnostics (like X-ray absorption) that scale linearly with density. Here we present a relatively simple formalism for modeling the effects of porosity on X-ray line transport in hot star winds. This framework can accommodate isotropic or anisotropic porosity, and depends on only three parameters: the clump optical depth, the porosity length, and a specification of the isotropy of the clumps. Furthermore, we show that a simple inverse bridging law describes a the effects of a distribution of clumps with optical depths that obey Markovian statistics. And finally, we show that while there is degeneracy between mass-loss rate reduction and the reduced effective opacity of isotropic porosity, the porosity associated with the anisotropic effective opacity of radially oriented, flattened clumps leads to a distinctive line profile shape that is not seen in observed line profiles.
 
clump visualizations profiles
In a second paper, we will quantitatively explore the porosity/mass-loss-rate trade-off, and the extent to which anisotropic porosity is consistent with observed X-ray line profiles. Update: It has now been published.

 

"Chandra X-ray Spectroscopy of the Very Early O Supergiant HD 93129A: Constraints on Wind Shocks and the Mass-Loss Rate," Cohen, Gagné, Leutenegger, MacArthur ('11), Wollman ('09), Sundqvist, Fullerton, & Owocki, MNRAS, 415, 3354 (Aug. 2011).

HD 93129A is an O2 If* star - the earliest spectral type in the Galaxy - with a wind that is extremely dense and powerful. Its X-ray emission is known to be quite hard, and colliding wind shocks due to a binary companion have been suspected to be the source of the hard X-rays. But in this paper, we show that the vast majority of the X-rays come from standard embedded wind shocks, associated with the line-driving instability, just like the prototypical O supergiant, ζ Pup. The observed X-ray hardness is not due to high temperatures in the emitting plasma, but rather due to soft X-ray attenuation by the dense wind in which the shock-heated plasma is embedded. We use the effects of the wind absorption to measure the mass-loss rate in two different ways. First, just as we did for ζ Pup, we fit the broad, blue shifted, and asymmetric X-ray emission line profiles to quantify the amount of attenuation and from that determine a mass-loss rate of roughly 7 X 10-6 Msun/yr. Second, we use the windtabs wind attenuation model (Leutenegger et al. 2010) in conjunction with an APEC global thermal emission model to measure a mass-loss rate of roughly 5 X 10-6 Msun/yr. The formal uncertainties of these two measurements overlap significantly. This represents the first self-consistent fitting of both X-ray emission line profiles and the broadband X-ray spectrum of an O star. And the mass-loss rate determination represents a factor of 3 or 4 reduction with respect to the standard, unclumped H-alpha mass-loss rate. We also fit the H-alpha emission profile using our new, lower mass-loss rate and a clump filling factor of fV = 0.08. In order to achieve a good fit, the clumping must start very near the photosphere (1.05 R*). This is lower than the onset radius of the X-ray emission (~1.3 R*) determined from the line profiles.
 
zeroth order image taustar values zeroth order spectrum

 

"Young Exoplanet Transit Initiative (YETI)," Neuhäuser, et al., Astronomische Nachrichten, 332, 547 (July 2011).

The Young Exoplanet Transit Initiative (YETI) is a world-wide collaboration (run by Ralph Neuhäuser at Jena, in Germany). The main purpose of the collaboration is to search for exoplanets orbiting young (few million year old) stars, via the transit method. The general strategy is to make close to continuous photometric observations of several young clusters, using a large network of medium-sized telescopes. This first paper describes the facilities and their capabilities and provides some initial data on the young cluster Trumpler 37.
 
Tab 2 Tr-37 light curve
This paper is the first publication containing data from Swarthmore's Peter van de Kamp Observatory.

There's a nice summary of the paper on astrobites.

And now a follow-up paper on what we've found out from our observations about the stars in Tr 37 has been published: "The stellar content of the young open cluster Trumpler 37," Errmann, et al., Astronomische Nachrichten, 334, 673 (Aug 2013).

 

"Chandra Carina Complex Project," Townsley et al., Nazé et al., Gagné et al., Ap.J. Supp., 194, (1, 7, & 5) (May 2011).

These are three of the first large batch of papers to come out of Leisa Townsley's Chandra Very Large Program on the Carina Complex. Townsley et al. introduces the project, including the detection of over 14,000 sources, some of which, along with diffuse X-ray emission, can be seen in the image below on the left. Nazé et al. measure a tight correlation between LX and Lbol, with a proportionality constant about a factor of two below the canonical 10-7 value. Gagné et al. looks at O and B stars that deviate from the standard X-ray behavior discussed in Nazé et al., and find several candidate magnetic massive stars, find a correlation between binary period and X-ray hardness for colliding wind binary systems, and show that the more X-ray active B star population cannot be explained by contamination by low-mass binary companions.
 
Townsley Fig 2 Gagne Fig 4 Naze Fig 3

 

"Modeling Broadband X-ray Absorption of Massive Star Winds," Leutenegger, Cohen, Zsargó, Martell ('09), MacArthur ('11), Owocki, Gagné, & Hillier, Ap.J., 719, 1767 (Aug. 2010).

Attenuation of the X-ray emission produced by shocks distributed throughout the winds of massive stars has long been recognized as an important effect on the observed X-ray properties of these stars. However, modeling this attenuation accurately within the context of data-fitting routines has always been difficult, and generally has been neglected. In this paper, we show that simply incorporating the wind attenuation into the commonly used interstellar absorption models leads to significant errors on two counts: (1) the opacity of massive star winds differs from that of the neutral ISM because of the partially ionized nature of the wind plasma; and (2) the exponential attenuation incorporated into ISM absorption models severely underestimates the transmission when applied to the wind scenario, in which the emitting plasma is spatially distributed within the absorbing medium, rather than being completely behind it. In this paper, we present a tabulated transmission model, coupled to a wind opacity model, incorporated into a fast and easy to use "local model" implemented in XSPEC. As an application of this model, we show that most of the recently noted trend of X-ray spectral hardness with optical spectral subtype can be understood as a wind absorption effect, rather than a temperature or ionization effect.
 
transmission weighted emission tau star and Sigma star seven spectra

 

"A Mass-Loss Rate Determination for zeta Puppis from the Quantitative Analysis of X-ray Emission Line Profiles," Cohen, Leutenegger, Wollman ('09), Zsargó, Hillier, Townsend, & Owocki, MNRAS, 405, 2391 (July 2010).

X-ray emission lines from hot stars are Doppler broadened due to the high outflow velocities of these stars' winds. They also have a characteristic blue-shifted and asymmetric shape that comes from the preferential attenuation of red-shifted X-rays emitted from the far hemisphere of the wind (Owocki & Cohen 2001) (and see figure on left, below, for a schematic of this situation; a description is in the figure caption in the paper on p. 5). A typical X-ray emission line is shown in the middle panel, along with the best-fitting profile model. The amount of attenuation of each emission line is proportional to the opacity of the bulk, cold wind at the wavelength of each line. Because the opacity is wavelength-dependent, the amount of attenuation and thus the emission line morphology is too. By fitting models to each of sixteen lines in the Chandra grating spectrum of ζ Pup, we derive the fiducial optical depth for each line, τ*, which is proportional to the mass-loss rate and opacity. Using a model of the wind opacity, we are able to fit these sixteen τ* values with a single mass-loss rate (right panel below), deriving a value of 3.5 X 10-6 Msun/yr. This represents a reduction of a factor of nearly three over the traditionally accepted value, but is consistent with recent independent mass-loss rate determinations that account for small-scale wind clumping.
 
scematic Fe XVII profile Mdot reduction

 

"Discovery of Rotational Braking in the Magnetic Helium-Strong Star sigma Orionis E," Townsend, Oksala, Cohen, Owocki, & ud-Doula, Ap.J.L., 714, L318 (May 2010).

The B2 star, σ Ori E, is a prototypical helium-strong star with a very strong magnetic field in a tilted dipole configuration. It is young, and a rapid rotator, and there is strong evidence for wind material being confined by the magnetic field, building up, and periodically breaking out of the magnetosphere. This magnetized mass loss should spin down the star. By combining archival photometry with newly obtained U-band photometry, we have demonstrated spindown at a rate of 77 ms per year, in good agreement with the predictions of theory.
 
photometry O-C RFHD

 

"Discovery of a Magnetic Field in the O9 Sub-Giant Star HD 57682 by the MiMeS Collaboration," Grunhut, et al., MNRAS, 400, L94 (Nov. 2009).

Using the ESPaDOnS spectropolarimeter on the CFHT, we have detected a magnetic field in HD 57682, making it only the fourth O star with a measured magnetic field. The significance of the field detection is very high, but there are large uncertainties on some of the field parameters. Overall, the data are consistent with a 1700 G dipole field (Bayesian probabilities for the field parameters are shown in the right-hand figure, below) and very slow rotation (consistent with the 31 day upper limit inferred from the vsini and the star's radius). We also present time-variable Hα emission, consistent with rotationally modulated magnetospheric emission, and archival IUE spectra from which we derive a low mass-loss rate of only 10-9 solar masses per year, implying a large magnetic confinement parameter (η* ~ 104). ROSAT measurements indicate a large X-ray filling factor, which would be consistent with MCWS X-rays, but also soft emission, which implies that the MCWS-related shocks are not very strong.
 
single profile Halpha and He I paramters

 

"No Transition Disk? Infrared Excess, PAH, H2, and X-rays from the Weak-Lined T Tauri Star DoAr 21," Jensen, Cohen, & Gagné, Ap.J., 730, 252 (Sep. 2009).

DoAr 21 is an exceptionally X-ray bright low-mass pre-main-sequence star in the rho Oph star formation region. It is relatively high mass (~2 Msun) and young (< 1 Myr) and there is mixed information in the literature about the presence of an accretion disk around it. We present here not only a new, high-resolution Chandra X-ray spectrum, but also new optical spectroscopy and infrared imaging. We incorporate this new, multi-wavelength spectral data with existing information from the literature to establish that while there is, in fact, circumstellar material within several 100 AU of the star, it appears not to be in the form of an accretion disk but rather is more akin to a photodissociation region that is strongly irradiated by the high energy emission of DoAr21. This highlights both the very young ages at which some stars are found without disks, and the extreme radiation environment around late-type pre-main-sequence stars. DoAr 21, though a K star now, will be an A star - and presumably X-ray dim - when it is on the main sequence.
 
Gemini images HRD X-ray light curve

 

"Spectroscopic Measurements of Temperature and Plasma Impurity Concentration During Magnetic Reconnection at the Swarthmore Spheromak Experiment," Chaplin ('07), Brown, Cohen, Gray, & Cothran, Phys. Plasmas, 16, 042505 (Apr. 2009).

My colleague Michael Brown studies magnetic reconnection in the Swarthmore Spheromak Experiment, in which two spheromaks merge and undergo magnetic reconnection and relaxation. He and his group study the dynamical evolution of the magnetic field (using in situ magnetic probes) and the production of non-thermal particles during reconnection [pdf], among other topics. In this paper, we use UV and soft X-ray spectroscopy to study the time-dependent temperature during the reconnection process in the experiment. We also use the UV spectra to constrain the relative amounts of C, N, and O in the primarily hydrogen plasma. We accomplish both of these goals via detailed non-LTE statistical equilibrium and spectral modeling, for which we use the PrismSpect and ATBASE codes. The results we report on in this paper are augmented by spectrally resolved UV line profile measurements, from which we derive time-dependent ion temperatures in the reconnection region of the plasma. We derive from the data peak temperatures of about 20 eV, consistent with a simple model of reconnection energetics. We also find that the carbon emission is consistent with about one out of every hundred atoms being carbon, whereas the nitrogen and oxygen line intensities imply a much lower fraction of these impurities. We detect a burst of soft X-rays during reconnection, but their spectral evolution is not consistent with a single temperature, equilibrium spectral model.

This work grew out of Vernon Chaplin's senior thesis work at Swarthmore, for which he was a finalist for the Apker Award, in 2007. Vernon is currently in the Physics Ph.D. program at Caltech.
 
SSX photo model spectrum carbon ionization fraction

 

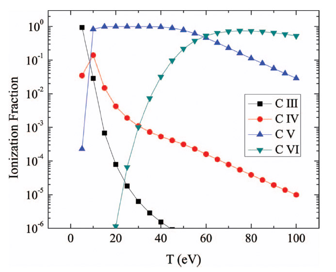
"On the Importance of the Interclump Medium for Superionization: O VI Formation in the Wind of ζ Pup," Zsargó, Hillier, Bouret, Lanz, Leutenegger, & Cohen, Ap.J.L., 685, L149 (Oct. 2008).

It's increasingly clear that hot-star winds are highly clumped, with the majority of the mass assumed to reside in the over-dense clumps, while the tenuous interclump medium fills a majority of the volume. The interclump medium is often taken to be completely empty. However, in this paper we show that a tenuous - but not void - interclump medium is the site of the the superion O VI, which produces the strong UV wind features at 1032, 1038 Angstroms. The XCMFGEN calculations we present here show that X-ray photoionization plays a key role in producing O VI, but in the dense clumps, recombination reduces the amount of O VI to negligible levels. The lower density in the interclump medium leads to a much lower recombination rate, enabling the survival of O VI. The O VI profiles we synthesize with our two-component model reproduce the data well. Models either without X-rays or without any material in the interclump medium fail to. Our calculations also show that C IV is produced within the clumps, while the situation with N V is intermediate between O VI and C IV.

"High-Resolution Chandra X-ray Imaging and Spectroscopy of the Sigma Orionis Cluster," Skinner, Sokal, Cohen, Gagné, Owocki, & Townsend, Ap.J., 683, 796 (Aug. 2008).

The sigma Ori system contains five stars, including an O9.5 V + B0.5 V close binary (AB) and a magnetically strong B2 V star (sigma Ori E). This paper analyzes the X-ray emission properties of several dozen stars in the ~3 Myr old cluster surrounding this system as well as presenting detailed analysis of the broad-band and grating spectra of the AB and E components of sigma Ori itself. Unlike other X-ray observations of sigma Ori E, this one does not show any flaring, although the observed quiescent level of X-ray emission is several times higher than that seen in the XMM observation. Our data shows a hint of sinusoidal X-ray variability modulated on the rotation period. The grating spectrum of the O star is characteristically soft and modestly strong. The emission lines are resolved, but quite narrow (HWHM < 300 km/s, which is only about 1/4 of the UV wind terminal velocity). The small f/i ratio of Mg XI implies a location for the x-ray emitting plasma less than one stellar radius above the photosphere. The narrow lines make it difficult to understand the X-rays in the context of line-driven instability wind shocks (the same can be said for beta Cru and delta Ori). The magnetically channeled wind shock scenario would be able to explain the narrow lines, but no magnetic field has been detected on sigma Ori A, and the MCWS scenario would likely lead to higher X-ray temperatures than observed. Finally, the softness of the spectrum rules out contamination by an unseen low-mass companion and the f/i constraints rule out wind-wind binary X-ray production.

"Chandra Spectroscopy of the Hot Star β Crucis and the Discovery of a Pre-Main-Sequence Companion," Cohen, Kuhn ('07), Gagné, Jensen, & Miller, MNRAS, 386, 1855 (June 2008).

Beta Crucis, or Mimosa, is one of the bright stars in the Southern Cross and due both to its high luminosity and its proximity, it is one of the very brightest stars in the sky. At 16 solar masses and spectral type B0.5 III, it is not quite as massive - nor as luminous or hot - as the O stars with their dense, radiation-driven stellar winds. The wind of beta Cru is several orders of magnitude weaker, but still seems to generate a significant X-ray luminosity. In this paper, we use Chandra spectroscopy to test the wind-shock paradigm for X-ray emission in early B stars. We find a very large X-ray filling factor is necessary to explain the overall level of X-ray emission, and that the X-ray emitting plasma is distributed in the wind (from f/i ratios of Ne IX and Mg XI), though the rather narrow X-ray line widths (HWHM ~ 150 km/s) make it quite hard to understand how it is produced by the standard line-driven instability mechanism. We detect modulation of the hard X-rays on the known (beta Cephei) optical pulsation period. We also have discovered an apparent binary companion at a separation of 4 arc seconds. This putative companion has never been seen in optical images, likely because of the extreme brightness contrast with the B star primary. Its X-ray properties (hard, variable, thermal spectrum) are consistent with the companion being a low-mass pre-main-sequence star, which would make the beta Cru system a Lindroos binary.

The above-linked annotated Palomar image came from a posting on the Psychohistorian blog. You can also check out our press release, article in the New York Times, (tangentially) related sound clip from The Incredibles, and the drink menu from the aptly named B Star Bar. Of course, the press interest was due not to the science, but rather to the presence of beta Crucis on the flag of Australia (the design of which is being reconsidered, though not because of our work) and at least four other national flags, plus many other flags. Note that the image is flipped on the flag of Brazil which has an old-fashioned "outside" view of the celestial sphere.

"Measurement and Analysis of Helium-Like Triplet Ratios in the X-ray Spectra of O-Type Stars," Leutenegger, Paerels, Kahn, & Cohen, Ap.J., 650, 1096 (Oct. 2006).

We explore the effects of photospheric spectral structure and a spatially distributed emitting plasma on the forbidden-to-intercombination line ratio diagnostics, as applied to O star x-ray spectra. We do this by simultaneously fitting simple wind-broadened line profiles to the resonance, forbidden, and intercombination components of the He-like triplets of, primarily, Mg XI, Si XIII, and S XV in the Chandra spectra of four O stars: ζ Pup, ζ Ori, ι Ori, and δ Ori. We show that if a spatial distribution of x-ray emitting plasma in the wind is assumed then the otherwise important effect of spectral structure can be safely ignored (since the spatial integral translates into a frequency integral, effectively smearing out absorption lines in the photospheric spectrum). We find completely consistent results between the spatial distributions implied by the f/i ratios and those implied by the fitted profile shapes. These distributions typically involve an onset radius of roughly 1.5 Rstar, in accord with the general wind-shock scenario. Earlier claims of plasma very close to the photosphere in ζ Pup and ζ Ori need not be invoked, based on the results of our new analysis. These differences with previous claims are not, however, related to either of the assumptions we investigate in this paper. Rather, they are due to a combination of newer model atmospheres and atomic physics, and, apparently, different fits to the data themselves.

"The Effects of Porosity on X-ray Emission Line Profiles From Hot-Star Winds," Owocki & Cohen, Ap.J., 648, 565 (Sep. 2006).

We explore the extent to which non-uniformities (clumping and accompanying porosity) in hot-star winds can affect the shapes of x-ray emission line profiles. We show that the key parameter is the porosity length, which is the ratio of the clump scale to the volume filling factor. It can also be thought of as the mean free path between clumps. For porosity lengths that scale linearly with radius in the wind, we find that the porosity length at the base of the wind must approach unity before significant effects are seen on the line profiles. This requirement is difficult to reconcile with the small-scale structure seen in multi-dimensional simulations of hot-star winds, and thus lends support to the idea that hot-star mass-loss rates have been overestimated.

"Wind Signatures in the X-ray Emission Line Profiles of the Late O Supergiant ζ Orionis," Cohen, Leutenegger, Grizzard (St. John's College, '06), Reed ('05), Kramer ('03), & Owocki, MNRAS, 368, 1905 (June 2006).

X-ray line profile analysis has proved to be the most direct diagnostic of the kinematics and spatial distribution of the very hot plasma around O stars. The Doppler-broadened line profiles provide information about the velocity distribution of the hot plasma, while the wavelength-dependent attenuation across a line profile provides information about the absorption to the hot plasma, thus providing a strong constraint on its physical location. In this paper we apply several analysis techniques to the emission lines in the Chandra HETGS spectrum of the late-O supergiant ζ Ori (O9.7 Ib), including the fitting of a simple line-profile model. We show that there is distinct evidence for blue shifts and profile asymmetry, as well as broadening in the X-ray emission lines of ζ Ori. These are the observational hallmarks of a wind-shock X-ray source, and the results for ζ Ori are very similar to those for the earlier O star, ζ Pup, which we have previously shown to be well-fit by the same wind-shock line-profile model. The more subtle effects on the line-profile morphologies in ζ Ori, as compared to ζ Pup, are consistent with the somewhat lower density wind in this later O supergiant. In both stars, the wind optical depths required to explain the mildly asymmetric X-ray line profiles imply reductions in the effective opacity of nearly an order of magnitude, which may be explained by some combination of mass-loss rate reduction and large-scale clumping, with its associated porosity-based effects on radiation transfer. In the context of the recent reanalysis of the helium-like line intensity ratios in both ζ Ori and ζ Pup, and also in light of recent work questioning the published mass-loss rates in OB stars, these new results indicate that the X-ray emission from ζ Ori can be understood within the framework of the standard wind-shock scenario for hot stars.

"Numerical Modeling of Hohlraum Radiation Conditions," Cohen, Landen, & MacFarlane, Phys. Plasmas, 12, 122703 (Dec. 2005).

Small gold enclosures (approx. 1 mm in scale), called hohlraums, can be heated by short, intense laser pulses to temperatures of several million degrees. The intense, thermal radiation field inside these hohlraums can be used to drive the implosion of fusion fuel capsules or to generate shock waves and/or rapidly heat material samples placed inside these enclosures, for the purpose of studying material properties or aspects of shock physics, among other things. We have undertaken an extensive modeling study of the conditions within hohlraums. In this paper, we use the VisRad view-factor code to model the radiation conditions inside laser-heated hohlraums and halfraums (half-hohlraums). Specifically, we explore the spatial and spectral variations of the radiation field within halfraums, and compare the radiation drive onto an experimental package with that measured by an absolutely calibrated x-ray detector (such as DANTE) looking into the halfraum through a laser entrance hole. We also explore the effects of beam pointing, halfraum length, and both internal and external shields on both the radiation conditions inside the halfraum and on DANTE measurements.

"Chandra HETGS Multi-phase Spectroscopy of the Young Magnetic O Star θ1 Ori C," Gagné, Oksala (West Chester University, '04), Cohen, Tonnesen ('03), ud-Doula, Owocki, Townsend, & MacFarlane, Ap.J., 628, 986 (Aug. 2005). [b/w or color]

The young, hot star, θ1 Ori C, is the primary source of ionizing photons in the Orion Nebula, and is also one of the only massive stars with a detected magnetic field. A picture of an oblique magnetic rotator has emerged from combined optical, UV, Zeeman splitting, and broadband x-ray measurements. In this paper, we analyze grating spectra from four separate Chandra pointings covering a range of rotational phases (and thus magnetic field orientations). We also present numerical MHD modeling of the magnetically channeled wind of this star. The Chandra data is remarkably consistent with the MHD models as well as the older datasets mentioned above. And, in fact, the different x-ray spectral diagnostics we employ are consistent with each other: The emission lines are relatively narrow, but resolved, consistent with a channeled wind flow, which the MHD simulations indicate produces the bulk of the x-ray emission within one stellar radius of the photosphere; the He-like f/i ratios are consistent with hot plasma confined within one stellar radius of the photosphere, as is the x-ray lightcurve, which is nearly completely gray, consistent with a picture of occultation of an x-ray emitting torus; the emission measure distribution derived from the spectra are consistent with the predictions of the MHD simulations as well. The MCWS model is thus very successful at explaining the high-energy emission from this magnetized hot star, and in fact, may be applicable to other young, early-type stars as well.

After the paper was accepted, we discovered a small error with the atomic model we had used in the analysis of the f/i ratios. We reanalyzed these line ratios, incorporating an updated estimate of the effective temperature and also elaborating on the predictions of our MHD models in the context of the contstraints imposed by the f/i measurements. This new information has been published in an erratum, appearing in vol. 634 of the Ap.J. (20 Nov 2005).

"Tracer Spectroscopy Diagnostics of Doped Ablators in Inertial Confinement Fusion Experiments on OMEGA," Cohen, MacFarlane, Jaanimagi, Landen, Haynes, Conners ('03), Penrose ('04), & Shupe ('05), Phys. Plasmas, 11, 2702 (May 2004). [on-line article with link to color figure or direct link to archive containing color figure and supporting material]

We report on the results of a series of experiments carried out on the OMEGA laser to study the effects of ablator dopants on radiation propagation in laser fusion fuel capsules. We used point-projection backlit tracer spectroscopy to study the localized physical conditions in the interiors of plastic samples mounted on laser-heated gold enclosures, or hohlraums. We show, using detailed modeling to better understand the physics, that the effects of adding a small amount of germanium to a plastic ablator sample is quite significant, in terms of the coupling of the x-ray radiation field to the plasma and the associated radiation wave velocity through the material.

"High-Resolution Chandra Spectroscopy of γ Cassiopeia (B0.5e)," Smith, Cohen, Gu, Robinson, Evans, & Schran, Ap.J., 600, 972 (Jan. 2004).

This Be star was already known to have unusual properties, including a very hard and bright X-ray spectrum. Our analysis of the first high-resolution X-ray spectrum of γ Cas has revealed several new things: (1) the hottest plasma (12 keV) has two components with different absorption columns, with the higher column density component plausibly associated with absorption by the Be disk, (2) there are also several lower temperature components, though their emission measure is too high to correspond to the normal X-ray emission levels of early B stars, (3) the hot component is more metal deficient than the cooler components, (4) line ratios and the absence of narrow recombination continua indicate that the X-ray emitting plasma is collisional and not dominated by photoionization, (5) the X-ray line widths (rms of roughly 500 km s-1) are consistent with the star-disk corotation velocity, and (6) the cold iron K fluorescence feature is present in the spectrum, consistent with reprocessing in the Be disk. A scenario in which magnetic activity heats plasma near the surface of the star is consistent with these observed properties.

"X-ray Emission Line Profile Modeling of O Stars: Fitting a Spherically-Symmetric Analytic Wind-Shock Model to the Chandra Spectrum of ζ Puppis," Kramer ('03), Cohen, & Owocki, Ap.J., 592, 532 (Jul. 2003).

We have applied the X-ray line profile model of Owocki & Cohen (2001) to the analysis of the Chandra MEG spectrum of the early O supergiant ζ Puppis. We fit eight lines in the spectrum and find the following: (1) general consistency with a distributed wind shock picture, but (2) too little continuum absorption, based on what is known about the star's mass-loss rate, and (3) a spatial distribution of X-ray emitting plasma that scales roughly as the square of the wind density beyond some minimum radius that is roughly one stellar radius above the photosphere. Additionally, we surprisingly find that (4) there is no strong trend of wind absorption, or any other physical parameter, with wavelength, indicating that the wind opacity does not vary strongly with wavelength, contrary to the expectations of models.

"Chandra Spectroscopy of τ Scorpii: A Narrow Lined Spectrum from a Hot Star," Cohen, de Messieres ('04), MacFarlane, Miller, Cassinelli, Owocki, & Liedahl, Ap.J., 586, 495 (Mar. 2003).

The hot star τ Sco is quite unusual, with very strong X-rays, a very low projected rotational velocity, infalling UV absorbing plasma, and relative youth. The Chandra spectrum we report on in this paper shows the narrowest lines yet of any hot star observed with the Chandra HETGS. Although the emission lines are much narrower than would be expected based on the wind terminal velocity, they are not completely narrow, making them unlike X-ray emission lines seen in any known coronal source. Additionally, line ratio diagnostics indicate that at least some of the plasma on this star is several stellar radii above the photosphere. The existence of slow moving very hot plasma located well above the surface of τ Sco seems to be consistent with the expectations of the magnetically-confined wind-shock model, which might also naturally lead to material falling from the tops of closed magnetic loops back onto the photosphere.

"X-ray Spectral Diagnostics of Neon Photoionization Experiments on the Z-machine," Cohen, MacFarlane, Bailey, & Liedahl, Rev. Sci. Inst., 74, 1962 (Mar. 2003).

We report on X-ray diagnostics, in conjunction with computer modeling, of radiatively heated, X-ray photoionized plasmas on the Z-Machine at Sandia National Lab. Backlit absorption spectroscopy along with time-resolved emission spectroscopy may enable us to test models of X-ray photoionized plasmas that are used by the astrophysics community to analyze spectra from X-ray binaries and other accretion powered sources. Initial experimental results are shown.

"X-ray Emission Line Profile Modeling of Hot Stars," Kramer ('03), Tonnesen ('03), Cohen, Owocki, ud-Doula, & MacFarlane, Rev. Sci. Inst., 74, 1966 (Mar. 2003).

With the advent of high-resolution X-ray spectroscopy in astrophysics, line-profile analysis of hot stars has become possible. Hot stars are one of the few sources for which line profiles can be resolved at a resolution of λ/Δλ = 1000 because of the prodigious outflow velocities of their massive stellar winds. We report on both spherically-symmetric wind-emission models and equitorially enhanced wind models (related to the presence of large-scale magnetic fields in some hot stars). These models make predictions of line shapes that enable us to constrain the various physical models of X-ray production in hot stars.

"New Challenges for Wind Shock Models: The Chandra Spectrum of the Hot Star δ Orionis," Miller, Cassinelli, Waldron, MacFarlane, & Cohen, Ap.J., 577, 951 (Oct. 2002).

The late-O supergiant δ Ori has a Chandra spectrum that differs significantly from that measured in the O4 supergiant ζ Puppis. Its emission lines are narrower and show no signs of asymmetry, in contrast to those seen in ζ Puppis. This poses a serious challenge to the generally accepted wind-shock scenario, which would predict broader lines, consistent with the wind velocity measured in the UV and asymmetric lines due to wind absorption.

"Radiation Science Using Z-Pinch X-rays," Bailey, Chandler, Cohen, et al., Phys. Plasmas, 9, 2186 (May 2002).

Sandia's Z-Machine is the world's most powerful X-ray source. We describe a range of radiation physics experiments that are being carried out on the Z-Machine. Backlit inner-shell absorption spectroscopy is proving to be a very useful diagnostic tool for determining the physical conditions in different experimental packages fielded on the Z-Machine.

"X-ray Line Profiles from Parameterized Emission Within an Accelerating Stellar Wind," Owocki & Cohen, Ap.J., 559, 1108 (Oct. 2001).

We introduce a simple and flexible wind model that accounts for X-ray emission from hot plasma and continuum absorption by a cool wind component for the purpose of synthesizing emission line profiles. This spherically symmetric model has only four parameters and can be related to a host of different physical models of X-ray production on hot stars. We show that line shapes vary widely depending on the spatial distribution of the X-ray emitting plasma and the degree of continuum absorption. Emission line profiles, as observed recently with the new Chandra and XMM spectrometers, are thus shown to be a very powerful diagnostic of the physical conditions in the winds of hot stars.

"Neon Photoionization Experiments Driven by Z-Pinch Radiation," Bailey, Cohen, et al., J. Quant. Spec. Rad. Trans., 71, 151 (Oct. 2001).

This is the initial paper describing the experimental set-up for X-ray photoionization experiments at Sandia's Z-machine, in which a centimeter-scale cell containing neon gas is exposed to a strong X-ray field. We acquired time-integrated neon spectra showing hydrogen-like and helium-like absorption lines. In the future, we will obtain both absorption and emission spectra using time-resolved spectrometers. Among other applications, these experiments should provide information useful for the benchmarking of codes used to model X-ray binaries and other astrophysical plasmas.

"Chandra Detection of Doppler Shifted X-ray Line Profiles from the Wind of ζ Puppis (O4f)," Cassinelli, Miller, Waldron, MacFarlane, & Cohen, Ap.J. Lett., 554, L55 (Jun. 2001).

This paper reports on the high-spectral resolution observations of the canonical hot star wind X-ray source: ζ Puppis. The spectrum shows very broad lines, due to the massive outflowing stellar wind on this star. The lines are broad and somewhat asymmetric, in qualitative agreement with wind-shock models of X-ray production. Line ratio diagnostics are also employed to show that the hot plasma in the wind of this star is concentrated not far from the surface of the star.

"Statistical Fitting Analysis of Stark-Broadened Optically Thick Ar II Spectra Measured in Ion Beam Transport Experiments," Chung, Cohen, MacFarlane, Bailey, Wang, & Moses, J. Quant. Spec. Rad. Trans., 65, 135 (Apr. 2000).

We report on the analysis and modeling of partially optically thick argon emission line spectra taken during a light ion beam experiment at the PBFA-II facility at Sandia National Lab (see Bailey et al. 1999). We use a technique borrowed from X-ray astronomy data analysis to constrain the multi-parameter model that describes the observed optical argon spectra. We compare the derived parameter values (optical depths and densities) with the results of detailed non-LTE, time-dependent modeling of the argon excitation and ionization in the presence of thermal and non-thermal electrons.

"A Simple Scaling Analysis of X-Ray Emission and Absorption in Hot-Star Winds," Owocki & Cohen, Ap.J., 520, 833 (Aug. 1999).

After 20 years of observations of hot stars with X-ray telescopes, the most robust trend observed has been the correlation of X-ray luminosity with bolometric luminosity, the so-called LX/LBol=10-7 law. We show that this observation does not arise naturally from the wind-shock scenario, in which X-ray luminosity should scale with the wind density squared (for optically thin winds) or like the wind density (for optically thick winds). Here we show that the observed trend can be recovered if there is a weak dependence of the X-ray filling factor on radius in the wind. We also show that the overall spectral shape (in low-resolution observations) is governed much more by the absorption properties of the wind than the emission properties, and that X-ray spectra of hot stars are characterized by an optically thick soft X-ray portion and an optically thick harder X-ray portion, with the transition coming at the peak of the spectrum. These spectral trends are discussed as diagnostics. Finally, the fall-off of X-ray luminosity (i.e. deviation from the LX/LBol=10-7 law) in stars later than about B1 can be understood as a transition to winds that are completely optically thin to X-rays.

"Spectroscopic Measurements of Argon Plasma Formation by a High-Intensity Lithium Ion Beam," Bailey, Chung, Carlson, Cohen, Johnson, Lake, MacFarlane, Wang, & Welch, Phys. Rev. Lett., 82, 739 (Jan. 1999).

This is the first paper on the argon plasma formation in PBFA-II lithium ion beam experiments at Sandia National Lab. In these experiments, a litium ion beam is propagated through an argon-filled gas cell. The beam induces ionization and excitation in the argon, which we would like to understand so that the conditions in the gas cell can be optimized for beam propagation and so beam divergence can be minimized. We describe the experiment and spectral diagnostics, in the context of light ion beam transport physics.

"ROSAT and HIPPARCOS Observations of Isolated Pre-Main-Sequence Stars Near HD 98800," Jensen, Cohen, & Neuhauser, Astroph. J., 116, 414 (Jul. 1998).

Stars are usually thought to be formed in large star-forming complexes. But recently, a few pre-main-sequence (PMS) stars have been found not near any known regions of star formation. We report on ROSAT HRI observations of the field around the previously known, isolated PMS stars HD 98800 and CD -33 7795. We confirm the youth of these stars (via their high X-ray luminosities) and identify several other possible PMS stars in the field. However, only one of them, CD -36 7429, meets all the criteria for youth (several others lie above the main sequence, but appear to be giants and sub-giants). An analysis of the proper motions of the three PMS stars indicates that they probably did not form in the same cloud.

"ORFEUS-SPAS II Extreme-Ultraviolet Spectroscopy of ε CMa (B2 II)," Cohen, Hurwitz, Cassinelli, & Bowyer, Ap.J. Lett., 500, L51 (Jun. 1998).

We use the EUV spectrometer on the ORFEUS mission (flown on the Shuttle) to analyze the photospheric Lyman continuum of the B bright giant, ε CMa, which we have previously observed with EUVE (Cassinelli et al. 1995). This observation has significantly higher resolution (though lower signal to noise) which allows us to much more cleanly separate the numerous absorption lines seen in this part of the spectrum. Several of the lines (O V, Si IV) are clearly wind-broadened, consistent with a terminal velocity of 800 km/sec.

"ROSAT PSPC Observations of 27 Near-Main-Sequence B Stars," Cohen, Cassinelli, & MacFarlane, Ap.J., 487, 867 (Oct. 1997).

This paper follows up on an earlier, smaller survey of the X-ray properties of B stars (Cassinelli et al. 1994) and extends it to later spectral subtypes (down to B7). We explore the region in the HR diagram (around B2-B3) where the X-ray luminosity falls off precipitously. We detect X-ray emission from 22 of the 27 B stars in the survey, counter to the perception that B stars are not usually sources of X-rays. The X-rays from these B stars are very soft, and though relatively weak, actually exceed the levels expected from shocks embedded in their thin, radiatively-driven winds. We also find very little X-ray variability, and note modestly higher X-ray flux levels from the Be stars in the sample (though the subsample is not very large).

"ASCA X-Ray Spectroscopy of the Unusual B0 V Star τ Scorpii," Cohen, Cassinelli, & Waldron, Ap.J., 488, 376 (Oct. 1997).

The ASCA SIS spectrometers provide the highest spectral resolution of any X-ray telescopes at this time (mid-1990s). The early B star τ Sco was already known to be a source of unusually strong and hard X-rays from earlier, low-resolution observations. We quantify the temperature distribution in the X-ray emitting plasma (at least a quarter of the emission measure derives from plasma with temperatures above 25 million K). We also confirm, for the first time, that the emission is primarily thermal (with line complexes of Mg, Si, and S detected and their fluxes measured). We place strong limits on the flux from any non-thermal component. The derived X-ray properties are very difficult to explain in the context of line-force instability wind shocks, and might be associated with this star's relative youth (less than a million years on the main sequence).

"EUVE Spectroscopy of β Canis Majoris (B1 II-III) from 500 Angstrom to 700 Angstrom," Cassinelli, Cohen, et al., Ap.J., 460, 949 (Apr. 1996).

This star is one of only two hot stars with large EUV fluxes at the Earth (ε CMa is the other). This is due to its position in a "tunnel" of unusually low interstellar hydrogen column density. We report on the photospheric Lyman continuum spectrum and compare it with the predictions of model atmospheres. The primary result of this study is that the Lyman continuum flux level is several times higher than any available atmosphere model. We detect no firm evidence of wind signatures in any of the absorption lines.

"Evidence for Wind Attenuation and a Multitemperature Plasma in the Combined EUVE and ROSAT Observations of ε Canis Majoris (B2 II)," Cohen, Cooper, MacFarlane, Owocki, Wang, & Cassinelli, Ap.J., 460, 506 (Mar. 1996).

The B bright giant ε CMa is the only hot star with measurable emission lines in the EUVE spectrometers. These spectrometers had a resolution of several hundred, far in excess of any previous X-ray or EUV instruments. Thus, the data set reported on here is the first -- and for several years only -- hot star high energy spectrum with resolved emission lines. These emission lines were reported on initially by us (Cassinelli et al. 1994), but here we analyze them in conjunction with the low-resolution ROSAT PSPC soft X-ray spectrum. Because the spectra from these two instruments sample the same, multi-million degree plasma, but some of the EUV lines are subject to significant attenuation by the cool component of the wind, the combined analysis yields information about both the temperature distribution of the plasma and the degree of wind attenuation (and hence the physical location). The results show relatively conclusively that there is a spatial distribution of hot plasma within the stellar wind (as opposed to a coronal scenario, in which the wind lies above all of the X-ray emitting plasma). Furthermore, the temperature distribution we infer is consistent wit the predictions of the line-force instability wind-shock mechanism, based on numerical simulations.

"The X-Ray Halo of Nova V1974 Cygni (Nova Cygni 1992) and the Nature of Interstellar Dust," Mathis, Cohen, Finley, & Krautter, Ap.J., 449, 320 (Aug. 1995).

X-rays are preferentially forward scattered by dust grains, leading to observations of X-ray haloes around bright point sources with significant ISM columns along their lines of sight. Nova Cyg 92 is one such source, and in this paper we use the radial intensity of its X-ray halo observed with the ROSAT PSPC, combined with optical observations of hydrogen line ratios and broad-band reddening to model the physical properties of the interstellar dust along the line of sight to this object. We find that the dust grains are composite, consisting of a significant fraction of vacuum. And we also put some constraints on the dust size distribution.

"EUVE Spectroscopy of ε Canis Majoris (B2 II) from 70 Angstrom to 730 Angstrom," Cassinelli, Cohen, et al., Ap.J., 438, 932 (Jan. 1995).

We report on the first spectroscopic measurements of a hot star below the Lyman edge. This observation yielded several surprising and interesting results: (1) The photospheric continuum levels in the Lyman and Helium continua are ten to a hundred times higher than the predictions of state of the art model atmospheres. (2) The photospheric continua are heavily line-blanketed. (3) The initial and final stages of the Bowen fluorescence mechanism (He II Ly-α at 304 Angstrom and O III at 374 Angstrom) are detected for the first time in an object beyond the solar system. This emission arises in the cold component of the stellar wind. (4) Five emission lines from highly ionized iron are detected in the SW and MW spectrometers (between 170 and 335 Angstroms). Each one of these lines has a flux approaching the total flux in the entire ROSAT PSPC bandpass.

"X-ray Induced Ionization in the Winds of Near-Main-Sequence O and B Stars," MacFarlane, Cohen, & Wang, Ap.J., 437, 351 (Dec. 1994).

Using non-LTE modeling, constrained by ROSAT PSPC observations, we show that X-ray (and EUV) photoionization plays an important role in setting the ionization balance in the winds of OB stars. This effect is increasingly important as one looks toward later spectral subtypes. The reasons for this are two-fold: (1) Recombination is slower in the lower density winds of the later spectral subtypes. And (2) X-ray dominate photospheric continuum emission at lower photon energies in the cooler stars found at later spectral subtypes. For τ Sco (B0 V) and later stars, the inclusion of X-ray photoionization can change the dominant ionization state by one charge state or even more. For hotter stars, it can still have a significant effect on superionization states that are seen in the UV. UV absorption line diagnostics, including mass-loss rate diagnostics must take the effects of X-ray photoionization into account.

"X-ray Emission From Near-Main-Sequence B Stars" Cassinelli, Cohen, MacFarlane, Sanders, & Welsh, Ap.J., 421, 705 (Feb. 1994).

We report on the initial phase of a ROSAT PSPC survey of early B stars. Our results show that all the B stars in our sample (B0 to B2) are X-ray sources. Previous surveys probably did not show a high rate of X-ray production due to lack of sensitivity. The X-ray luminosities of even early B stars are significantly below those of O stars. And in fact, the well-known LX/LBol=10-7 law breaks down around B1, below which the ratio fo X-ray luminosity to bolometric luminosity is considerably lower. The spectral characteristics of these B stars are, with the exception of τ Sco, very soft.

 

Return to main papers page.

 


Return to David's home page

 

David Cohen: cohen -at- astro -dot- swarthmore -dot- edu
Last modified: March 13, 2024